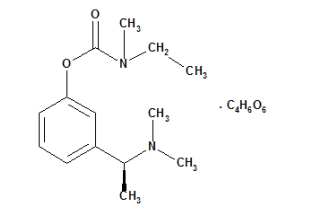
About Rivastigmine Hydrogen Tartrate API

Therapeutic CategorySistema Nervoso Central (SNC)
API Technology
Synthetic
Dose Form
Film (Transdermal), Oral Solid/Capsules
Dr Reddy's Development Status
Available (Commercial)
Available Regulatory Filing
USDMF, CEP Submitted, EUDMF, China DMF
Mecanismo de Ação
Rivastigmine is a type of medicine called an acetylcholinesterase inhibitor. It works by slowing the breakdown of a neurotransmitter in the brain called acetylcholine.
Indicação
EXELON is an acetylcholinesterase inhibitor indicated for treatment of:
- Mild to moderate dementia of the Alzheimer’s type
- Mild to moderate dementia associated with Parkinson’s disease
Especialização do Dr. Reddy
Com sede em Hyderabad, Índia, o Dr. Reddy's Laboratories é um dos principais fornecedores de Ingredientes Farmacêuticos Ativos (API) do mundo. O negócio de API do Dr. Reddy é um parceiro preferencial para empresas farmacêuticas nos EUA, Europa, Brasil, América Latina, Japão, China, Coréia e mercados emergentes.
Os negócios de API do Dr. Reddy prosperam com os profundos pontos fortes técnicos estabelecidos nos últimos 30 anos no desenvolvimento e fabricação de APIs complexas, como esteróides, peptídeos, moléculas complexas de cadeia longa e APIs altamente potentes (HPAPIs / medicamentos para oncologia). Essa experiência é complementada por nossa capacidade em propriedade intelectual e assuntos regulatórios, o que nos ajuda a cumprir e exceder consistentemente os padrões regulatórios. A API do Dr. Reddy Tartarato De Hidrogênio Da Rivastigmina é o resultado de uma extensa experiência em pesquisa e desenvolvimento, PI e regulamentação.
Um componente essencial para ajudar nossos clientes a serem os primeiros no mercado é uma cadeia de suprimentos responsiva. Conseguimos isso garantindo que todas as nossas instalações estejam operando com eficiência e com os mais recentes padrões de qualidade, segurança e produtividade. Uma forte interconexão entre negócios e fábricas permite uma reação rápida às mudanças dinâmicas do mercado, para que possamos evitar escassez e atender a súbitas oscilações na demanda.