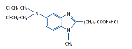
About Bendamustine Hydrochloride API

Therapeutic CategoryAnti-Cáncer / Oncologico
API Technology
Synthetic
Dose Form
Injectable
Dr Reddy's Development Status
Available (Commercial)
Available Regulatory Filing
USDMF, Brazil DMF, EUDMF, Korea DMF
Mecanismo de acción
Bendamustine is a bifunctional mechlorethamine derivative containing a purine-like benzimidazole ring. Mechlorethamine and its derivatives form electrophilic alkyl groups. These groups form covalent bonds with electron-rich nucleophilic moieties, resulting in interstrand DNA crosslinks. The bifunctional covalent linkage can lead to cell death via several pathways. Bendamustine is active against both quiescent and dividing cells. The exact mechanism of action of bendamustine remains unknown.
Indicación
TREANDA for Injection is an alkylating drug indicated for treatment of patients with:
- Chronic lymphocytic leukemia (CLL). Efficacy relative to first line therapies other than chlorambucil has not been established.
- Indolent B-cell non-Hodgkin’s lymphoma (NHL) that has progressed during or within six months of treatment with rituximab or a rituximabcontaining regimen.
Experiencia de Dr. Reddy
Con sede en Hyderabad, India, Dr. Reddy's Laboratories es uno de los principales proveedores de ingredientes farmacéuticos activos (API) a nivel mundial. El negocio API de Dr. Reddy es considerado como un socio preferido de las compañías farmacéuticas en los Estados Unidos, Europa, Brasil, América Latina, Japón, China, Corea y los mercados emergentes.
El negocio de API de Dr. Reddy se nutre de las fortalezas técnicas profundas establecidas en los últimos 30 años en el desarrollo y fabricación de API complejas como esteroides, péptidos, moléculas complejas de cadena larga y API altamente potentes (HPAPI / medicamentos oncológicos). Esta experiencia se complementa con nuestra destreza en propiedad intelectual y asuntos regulatorios que nos ayudan a cumplir y superar los estándares regulatorios de manera consistente. Los APIs de Dr. Reddy´s Clorhidrato De Bendamustina es el resultado de la amplia experiencia en R&D, IP y Normatividad Aplicable.
Un componente clave para ayudar a nuestros clientes a ser los primeros en comercializar es una cadena de suministro receptiva. Logramos esto al asegurarnos de que todas nuestras instalaciones funcionen de manera eficiente y con los últimos estándares de calidad, seguridad y productividad. Una fuerte interconexión entre las empresas y las fábricas permite una reacción rápida a los cambios dinámicos del mercado, de modo que podamos evitar la escasez y satisfacer los repentinos aumentos de la demanda.